Os compostos A e B são isômeros constitucionais com fórmula molecular . O composto A possui uma ligação na configuração trans, enquanto o composto B possui uma ligação que não é estereoisomérica.
Identifique a estrutura do composto A.
Identifique quatro estruturas possíveis para o composto B.
A análise parte da fórmula molecular , que indica uma insaturação. Em A, a ligação dupla deve admitir configuração trans; em B, a ligação dupla não pode ser estereoisomérica, ou seja, um dos carbonos da dupla deve estar ligado a dois grupos iguais.
A ligação dupla na configuração trans já fixa quatro dos cinco átomos de carbono:

O quinto carbono não pode ser ligado em uma posição vinílica ( ou ), pois isso geraria uma ligação dupla não estereoisomérica:

Portanto, o quinto carbono deve ser ligado em uma posição alílica, o que conduz ao seguinte composto:

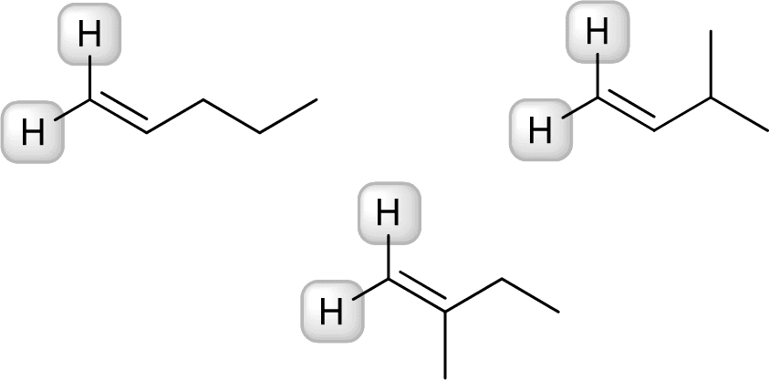
A ligação dupla em B não pode ser estereoisomérica. Isso ocorre quando um dos carbonos da dupla está ligado a dois grupos iguais. Esses grupos podem ser dois grupos metila, como em:

ou dois átomos de hidrogênio, como nos três compostos:
