O seguinte haleto alquílico terciário foi aquecido em etanol por vários dias, e a mistura de produtos continha cinco produtos de eliminação e dois produtos de substituição diferentes:
Desenhe os produtos de substituição e identifique a relação estereoquímica entre eles.
Identifique qual produto de substituição é esperado ser favorecido, e explique sua escolha.
Desenhe todos os produtos de eliminação, e identifique quais produtos são estereoisômeros entre si.
Para cada par de alcenos estereoisômeros, identifique qual estereoisômero é esperado ser favorecido.
A reação é uma solvólise com nucleófilo e base fracos. Os produtos de substituição surgem por e os de eliminação, por E1.
No produto , o brometo é substituído pelo nucleófilo (etoxi, ). A posição é um centro quiral, de modo que se espera um par de enantiômeros:

O produto invertido é levemente favorecido em função de pares iônicos:

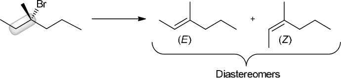
Há três posições com hidrogênios, levando a três regiosquímicas distintas. Uma das possibilidades coloca a ligação dupla na posição abaixo destacada e gera dois alcenos diastereoisômeros:

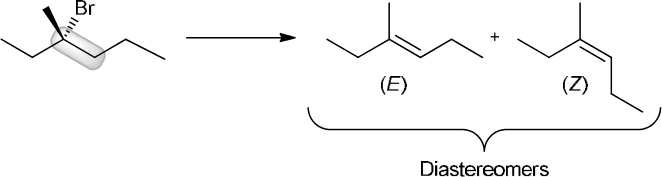
Outra possibilidade coloca a ligação dupla na posição abaixo destacada, também com dois alcenos diastereoisômeros:

A terceira possibilidade leva a um alceno dissubstituído, sem estereoisomeria:

No total, há cinco alcenos.
Em cada par de alcenos diastereoisômeros, o isômero com menor interação estérica é favorecido. Em ambos os casos, o isômero E apresenta menor interação estérica e é, portanto, o mais estável e o favorecido.